我的药学笔记11——手把手教你做HPMC骨架片(辅料篇1)
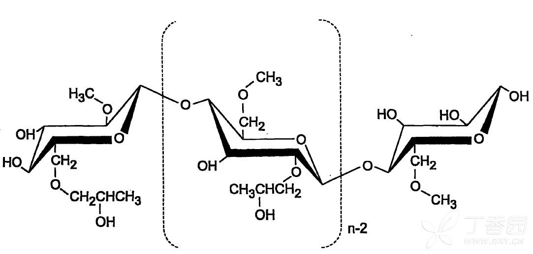
推荐一、结构式 HPMC的基本结构见下图:


取代机包括甲基和羟丙基,取代基甲基为疏水基团,羟丙基的羟基朝外,所以羟丙基是亲水基团。因此,同样黏度情况下,羟丙基含量越高,那么同等条件下水溶性越好。
另外,我们常常看到HPMC的分类有2208、2910,其中22或29表示甲基的取代度(均值)为22%或29%,08或10表示羟丙基的取代度(均值)为8%或者10%。
比如:DOW陶氏(现在已经被卖了)HPMC E系列对应2910,HPMC K系列对应2208,HPMC F系列对应2906系列。
另外,从结构式中我们可以看到,还有一个n值,表示单元重复数。n越大,重复单元越多,分子量就越大,分子链越长,所以,越难溶于水,溶于水后黏度越高。所以,从结构式我们就可以知道,如果要让产品的释放快一点,需要n值低一点的HPMC;要让产品的释放慢一点,就需要n值高一些的HPMC。
另外,骨架片的释放机理,大体上分为两类来解释,一种是溶蚀,一种是扩散。当然,两种不是绝对的,是有叠加的区域的。那么,想要达到溶蚀的释放机理,那么就需要HPMC溶的快一点,所以一般HPMC的n值较小;要达到扩散,即药物先于HPMC溶解,那么HPMC选择的n值就要高一些。
另外,讲到这里,想到一件事情。那就是一般水溶性好的药物,比如盐酸二甲双胍,搭配的是HPMC K100M(第二高黏度的HPMC)。如果是难溶性药物,一般搭配低黏度的HPMC,极端的例子可以理解成HPMC溶解掉的时候,不溶性的API颗粒释放出来,然后API再被溶解。
那么市售的HPMC有哪些型号呢?
以卡乐康代理的HPMC来说,包含以下型号:

其中K系列是2208,E系列是2910。当然,我们熟悉的HPMC E5也是2910系列,见下图:

需要补充一点的是,K系列的羟丙基取代值,写的是7~12,这是USP的范围。假如你看到过质量标准的时候,就会发现他的范围是7.5~9.5,中间值是8。
另外,从上面图可知,黏度是一个阶梯是的,不是无极可调的。所以,加入想要得到某一黏度的时候该怎么办呢?那就是高低黏度搭配,俗称“勾兑”。另外,需要补充一点的是,黏度是与温度相关的,同时不是线性,而是指数形式的,所以高黏度和低黏度搭配的时候,不是线性的增加,而是指数级别的增加。切记。
以上,就是通过HPMC的结构图想到的。俗称开具一张图,结果全靠编。
二、制备方式
我有个习惯,每次开始做项目的时候,都会重新把辅料的特性再看一遍,看到辅料的常规用法,以及是否有一料多用的情况(就像多音字)。
可以看《药用辅料手册》,也可以去CDE看(大部分是翻译药用辅料手册的)。
从CDE对该辅料的介绍我们可以看到,其制备方式:“将精制棉纤维素用碱液在35-40℃处理半小时,压榨,将纤维素粉碎,于35℃适当进行老化,使所得的碱纤平均聚合度在所需的范围内。将碱纤维投入醚化釜,依次加入环氧丙烷和氯甲烷,在50-80℃醚化5h,最高压力约1.8MPa。反应产物经后处理(盐酸中和、草酸除铁、洗涤、干燥)。原料消耗定额棉浆粕1100kg/t、氯甲烷和环氧丙烷4300kg/t、固碱1200kg/t、盐酸30kg/t、草酸50kg/t[1]。”
从制备方式可知,HPMC中羟丙基和甲基是起始物料是环氧丙烷和氯甲烷。其中,环氧丙烷具有氧化性,不管后续工艺如何,理论上成品中是含有环氧丙烷的,只是不同厂家的量多量少而已。假如你们的API会被氧化,尤其是会被氧化生产基毒杂质的时候,就需要小心了。
另外,我们可以看到,在生产过程中,先使用碱,然后使用算进行中和。从化合物结构式上看,HPMC理论上应该是一个中性化合物;但从药典标准中看,EP中控制的pH为5.5~8.0。再结合工艺看,最后使用酸进行中和的时候,可能酸有一点残留。
以上这些信息不一定在每个项目中都会有用,但假如你处理的API是比较有个性,遇到有些无法解释的结果、现象,不妨从这些里面来寻求一种解释,然后再加以验证,可能就把问题解决了。
你我皆凡人,多留心一些别人不关注的地方,或许,某一天在某个地方,就发光了呢🤩
三、溶解性
羟丙甲纤维素干燥后有吸潮性,但性质稳定。其溶液在pH 3~11稳定。温度增加溶液黏度降低。加热-冷却可使羟丙甲纤维素从溶液态→凝胶态可逆转化。根据不同级别和浓度,凝胶化温度在50~90℃。

可以这样来理解这个性质,即溶于冷水,不溶于热水。
【今天就到这里了,我还有很重要的事情要去做,比如带娃】















































